Coeficiente De Restituição / Discussao De Resultados 1 Verifica Se Que A Altura De Ressalto E Cada Vez Menor Sendo A Razao Hr Hi Constante Com O Valor De O 86 Ou Seja Hr 0 86 X Hi A Bola Apos O Ressalto Atinge 86 Da Altura Inicial Tracando O Grafico De Hr Em Funcao De H Obtem / Na prática o valor do coeficiente de restituição determina o tipo de colisão que ocorre.

Coeficiente De Restituição / Discussao De Resultados 1 Verifica Se Que A Altura De Ressalto E Cada Vez Menor Sendo A Razao Hr Hi Constante Com O Valor De O 86 Ou Seja Hr 0 86 X Hi A Bola Apos O Ressalto Atinge 86 Da Altura Inicial Tracando O Grafico De Hr Em Funcao De H Obtem / Na prática o valor do coeficiente de restituição determina o tipo de colisão que ocorre.. Na prática o valor do coeficiente de restituição determina o tipo de colisão que ocorre. Obtenha uma expressão para o coeficiente de restituição levando em conta que não há conservação da energia mecânica quando a bola colide com o chão. O coeficiente de restituição desta bola 0,8 e o choque é parcialmente elástico. Resumo o coeficiente de restituição de um objeto pode ser associado a quanto ele conserva de energia após impactar contra outro objeto. O coeficiente de restituição é a razão entre a velocidade relativa de afastamento dos dois corpos que colidiram entre si / velocidade relativa de aproximação entre os mesmos.

Com os valores medidos para h e h, determine o coeficiente de restituição para a colisão considerada. Faremos também uma pequena revisão sobre. Uma colisão perfeitamente inelástica tem um coeficiente de 0, mas um valor 0 não precisa ser perfeitamente inelástico. Como calcular o coeficiente de restituição da bola? Definição do coeficiente de restituição (e):

Coeficiente De Restituicao
Coeficiente De Restituicao from www.if.ufrgs.br
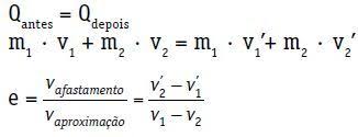
Veja grátis o arquivo relatorio fisica 1 coeficiente de restituição enviado para a disciplina de laboratório de física i categoria: Onde v2 representa o módulo da velocidade depois da colisão e v1 o módulo da velocidade antes. A perda de energia na colisão pode ser expressa em termos do coeficiente de restituição que, por definição, para uma superfície rígida, é dado por: Dentre os parâmetros envolvidos, talvez o coeficiente de restituição (e), que é a energia cinética dissipada em sucessivos impactos, seja o mais importante Através da divisão entre a velocidade de aproximação (antes do impacto) e a velocidade de afastamento (após o impacto). O coeficiente de restituição ou cr de um objeto é um valor fracionário que representa a razão das velocidades antes e após o impacto. Em física chamamos de coeficiente de restituição (e) a relação entre os valores positivos, ou seja, valores em módulo, das velocidades relativas de afastamento e de aproximação: O coeficiente de restituição é definido como a razão entre a velocidade relativa de aproximação, imediatamente antes da colisão, e a velocidade relativa de afastamento, imediatamente após a colisão.

Surge assim a possibilidade de medir o chamado coeficiente de restituição que é a relação entre os módulos da velocidade relativa entre os dois corpos depois (d) e antes (a) de chocarem:

0 < e < 1 : O que é coeficiente de restituição? Matematicamente é a razão entre a velocidade relativa de afastamento entre os corpos e a velocidade relativa de aproximação. O coeficiente de restituição é definido como a relação entre a velocidade final e a velocidade inicial entre dois objetos após a colisão. Fazendo uso do conceito de coeficiente de restituição, as colisões podem ser elencadas como: Na prática o valor do coeficiente de restituição determina o tipo de colisão que ocorre. Em física chamamos de coeficiente de restituição (e) a relação entre os valores positivos, ou seja, valores em módulo, das velocidades relativas de afastamento e de aproximação: Ou seja, a bola nunca consegue atingir a mesma altura de onde partiu. Com os valores medidos para h e h, determine o coeficiente de restituição para a colisão considerada. Surge assim a possibilidade de medir o chamado coeficiente de restituição que é a relação entre os módulos da velocidade relativa entre os dois corpos depois (d) e antes (a) de chocarem: Sua natureza mecânica como o ângulo de atrito e o coeficiente de restituição, este também chamado de coeficiente de repique (carnevale, 1991). Definição do coeficiente de restituição (e): Onde v2 representa o módulo da velocidade depois da colisão e v1 o módulo da velocidade antes.

Faremos também uma pequena revisão sobre. Na prática o valor do coeficiente de restituição determina o tipo de colisão que ocorre. Uma bola a chocar com a terra). O coeficiente de restituição é definido como a razão entre o módulo da velocidade relativa depois da colisão pelo módulo da velocidade relativa antes da colisão. Nesta videoaula de coeficiente de restituição, você vai aprender a comparar a condição inicial e a condição final dos objetos que passam por um choque mecânico para poder calcular o coeficiente de restituição nesses casos.

Coeficiente De Restituicao Entenda Blog Do Stoodi
Coeficiente De Restituicao Entenda Blog Do Stoodi from www.stoodi.com.br
O coeficiente de restituição ou cr de um objeto é um valor fracionário que representa a razão das velocidades antes e após o impacto. Coeficiente de restituição é a relação entre as velocidades de um objeto depois e antes de uma colisão. Obtenha uma expressão para o coeficiente de restituição levando em conta que não há conservação da energia mecânica quando a bola colide com o chão. O valor do coeficiente é determinado pela relação entre as velocidades dos corpos antes e depois de uma determinada colisão. Com os valores medidos para h e h, determine o coeficiente de restituição para a colisão considerada. Fazendo uso do conceito de coeficiente de restituição, as colisões podem ser elencadas como: Definição do coeficiente de restituição (e): Onde v2 representa o módulo da velocidade depois da colisão e v1 o módulo da velocidade antes.

Se for igual a 1,0 teremos uma colisão perfeitamente elástica (impossível de ser executada na prática).

Ⓘ velocidade inicial do corpo b antes da colisão u 2 Ou seja, a bola nunca consegue atingir a mesma altura de onde partiu. 0 < e < 1 : Rogério marques leite, audrey cristine esteves, antônio renato pereira moro, diogo cunha dos reis, andré da silva nascimento y noé gomes borges jr Olá!vamos estudar, nesta aula, as colisões, iniciando pela sua definição e analisando o coeficiente de restituição. Resumo o coeficiente de restituição de um objeto pode ser associado a quanto ele conserva de energia após impactar contra outro objeto. O coeficiente de restituição desta bola 0,8 e o choque é parcialmente elástico. Foi preciso utilizar a gravaテァテ」o em cテ「mera lenta para definir as alturas a cadaperテュodo. O objetivo do experimento foi analisar as características físicas de dureza ou resistência dos materiais a partir de uma queda livre, determinando o coeficiente de restituição através do intervalo de tempo entre os sucessivos impactos com o auxilio de. Essa comparação ajudará a entender se houve alteração de velocidade e de quantidade de movimento, entre outros. O valor do coeficiente é determinado pela relação entre as velocidades dos corpos antes e depois de uma determinada colisão. Determinação dos coeficientes de restituição e de amortecimento em palmilhas para calçados esportivos. Coeficiente de restituição é a relação entre as velocidades de um objeto depois e antes de uma colisão.

Rogério marques leite, audrey cristine esteves, antônio renato pereira moro, diogo cunha dos reis, andré da silva nascimento y noé gomes borges jr Com os valores medidos para h e h, determine o coeficiente de restituição para a colisão considerada. Sua natureza mecânica como o ângulo de atrito e o coeficiente de restituição, este também chamado de coeficiente de repique (carnevale, 1991). 0 < e < 1 : Onde v2 representa o módulo da velocidade depois da colisão e v1 o módulo da velocidade antes.

Em Cada Uma Das Situacoes Abaixo Calcule O Coeficiente De Restituicao E Classifique O Tipo De Brainly Com Br
Em Cada Uma Das Situacoes Abaixo Calcule O Coeficiente De Restituicao E Classifique O Tipo De Brainly Com Br from pt-static.z-dn.net
0 < e < 1 : Através da divisão entre a velocidade de aproximação (antes do impacto) e a velocidade de afastamento (após o impacto). O coeficiente de restituição é definido como a relação entre a velocidade final e a velocidade inicial entre dois objetos após a colisão. Veja grátis o arquivo relatorio fisica 1 coeficiente de restituição enviado para a disciplina de laboratório de física i categoria: Onde v2 representa o módulo da velocidade depois da colisão e v1 o módulo da velocidade antes. A velocidade inicial do corpo b antes da colisão é a taxa de mudança de sua posição em relação a um referencial e é uma função do tempo. Fazendo uso do conceito de coeficiente de restituição, as colisões podem ser elencadas como: Uma colisão perfeitamente inelástica tem um coeficiente de 0, mas um valor 0 não precisa ser perfeitamente inelástico.

Colisão perfeitamente inelástica (a velocidade das partículas do sistema após a colisão são iguais.

Essa comparação ajudará a entender se houve alteração de velocidade e de quantidade de movimento, entre outros. Exercícios de vestibulares com resolução comentada sobre. Através da divisão entre a velocidade de aproximação (antes do impacto) e a velocidade de afastamento (após o impacto). Um objecto com cr 1 colide elasticamente, enquanto um objeto com cr 0 colide inelasticamente. Foi preciso utilizar a gravaテァテ」o em cテ「mera lenta para definir as alturas a cadaperテュodo. Onde v2 representa o módulo da velocidade depois da colisão e v1 o módulo da velocidade antes. O que é coeficiente de restituição? O coeficiente de restituição ou cr de um objeto é um valor fracionário que representa a razão das velocidades antes e após o impacto. Por exemplo, se uma bola, solta de uma altura h_1 , quic Ou seja, a bola nunca consegue atingir a mesma altura de onde partiu. Faremos também uma pequena revisão sobre. O objetivo do experimento foi analisar as características físicas de dureza ou resistência dos materiais a partir de uma queda livre, determinando o coeficiente de restituição através do intervalo de tempo entre os sucessivos impactos com o auxilio de. O coeficiente de restituição é definido como a razão entre o módulo da velocidade relativa depois da colisão pelo módulo da velocidade relativa antes da colisão.

O objetivo do experimento foi analisar as características físicas de dureza ou resistência dos materiais a partir de uma queda livre, determinando o coeficiente de restituição através do intervalo de tempo entre os sucessivos impactos com o auxilio de restituição. O valor do coeficiente é determinado pela relação entre as velocidades dos corpos antes e depois de uma determinada colisão.

Posting Komentar

Lebih baru Lebih lama